宇宙中最神秘的整数:137
来源:互联网
时间:2026-03-03 12:44:36
3月3日消息,宇宙中有很多重要的数字,比如各种物理常数,光速、普朗克常数、万有引力常数等等,那么如果问宇宙中最重要的整数是什么,
不少物理学家可能会认为是——137。
为什么是看似平平无奇的137?

这就涉及到现代物理学中最关键的常数之一——精细结构常数。
它有多重要?没了它,原子将不复存在,星辰将不再闪耀,整个宇宙和生命将在瞬间崩塌。
所谓精细结构常数(α),是物理学中描述电磁相互作用强度的核心无量纲基本常数,氢原子第一轨道电子速度与光速之比。
1916年,德国物理学家阿诺德·索末菲提出了计算公式:

其中,e是电子所带的基本电荷,ε0是真空介电常数,h是约化普朗克常数,c是光速。
精细结构常数既是电磁力的“强度标尺”,直接决定带电粒子(如电子、质子)与光子之间相互作用的强弱。
也是原子结构的“微调旋钮”,决定着原子能级的精细分裂,控制着原子大小、化学键强度、化学反应速率,影响着恒星核合成(如碳元素的形成),是生命存在的关键条件。
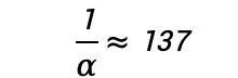
根据公式计算可得,α=0.0072973……,取倒数非常接近137。
最新精确计算结果是137.035999206(11),准确度达到万亿分之81,相当于测量地球到月球的距离误差不到一根头发丝,因此成为人类历史上测量最精确的物理学常数之一。

精细结构常数最令人迷惑的就是它的值恰好落在允许生命存在的极窄窗口内,至少目前来看,在实验误差范围内它没有随时间发生变化。
如果变大一点点,电磁力变强,原子更稳定,但化学反应难以发生。
如果变小一点点,电磁力变弱,原子结构松散,物质无法稳定存在。
所以,费曼曾称其为“物理学中最该死的巨大谜团之一,一个人类无法理解的魔术数字”。
事实上,普朗克常数、万有引力常数也是类似(只是无法和某个整数关联),稍微变动一点就会让整个宇宙不存在。
它们似乎都是刻意设计好的,似乎宇宙之上有个设计师,不过换个角度,也可以说是筛选出来的结果。

在地球上接收类星体的光谱可以测量精细结构常数